作者简介:程远(1987—),男,浙江永康人,博士,副研究员,主要从事番茄辣椒遗传育种与分子生物学研究。E-mail: chengyuan1005@126.com
采用高效液相色谱(HPLC)等技术手段,对目前生产上16个主栽樱桃番茄( Solanum lycopersicum Mill. var. cerasiforme)品种的风味评分及相关指标进行测定和比较分析,解析决定樱桃番茄风味的主要影响因素。研究表明,相比其他风味相关指标,不同番茄品种间柠檬酸、苹果酸、Vc和氨基酸含量的差异较大。16个参试品种中,浙江省农业科学院蔬菜研究所的浙樱粉1号、浙樱黄1号,日本金子种苗株式会社的黄妃,及山东省农业科学院蔬菜研究所的天正红珠风味评分排名前4,以上品种的7项风味及营养决定指标参数(可溶性固形物、总糖、有机酸、果糖、葡萄糖、柠檬酸和Vc)均显著高于风味评价排名后4名的参试番茄品种。进一步的相关性分析结果表明,风味评分与可溶性固形物、总糖、有机酸、果糖、葡萄糖和Vc含量显著正相关,而与糖酸比等复合参数无显著相关性。由上述结果可知,番茄风味品质的主要指标为可溶性固形物、总糖(果糖+葡萄糖)、有机酸(主要是柠檬酸)和Vc。此外,氨基酸作为传统意义上的营养物质,可能与番茄风味存在一定关联。
To elucidate the main factors that affect the flavor of cherry tomato ( Solanum lycopersicum Mill. var. cerasiforme), the flavor and nutrient substances were analyzed through technical means as high efficiency liquid chromatography (HPLC) etc. The results showed that the coefficient of variations (CV) of malic acid, citric acid, ascorbic acid (Vc) and total amino acids are relatively higher compared with other flavor determination parameters. Among the 16 tested varieties, Zheyingfen No. 1, Zheyinghuang No. 1 from Vegetable Science Institute of Zhejiang Agricultural Academic Science (ZAAS), Huangfei from Golden Seedling Company of Japan, Tianzhenghongzhu from Vegetable Science Institute of Shandong Agricultural Academic Science (SAAS) were top-ranked in the flavor evaluation, and 7 of their flavor determination parameters (soluble solids, total sugar, organic acid, fructose, glucose, citric acid, and Vc) were significantly higher than those of backward ranked correspondences. Further analysis indicated that the flavor score was positively correlated with parameters including soluble solids, total sugar, organic acid, fructose, glucose, ascorbic acid, but showed no significant correlation with compound parameters such as total sugar/titratable acid etc. Based on the results, we proposed that the main flavor determination parameters should be soluble solids, soluble sugar (fructose+glucose), organic acid (mainly citric acid) and Vc. Additionally, total amino acids, as traditional nutrient components, might also be correlated with tomato flavor.
樱桃番茄(Solanum lycopersicon Mill. var. cerasiforme)起源于南美洲, 又名迷你番茄, 具有果形多样化、颜色丰富多彩、酸甜可口、营养丰富等特点, 可填补水果淡季市场空缺, 目前已成为水果市场消费的一个重要替代产品。随着樱桃番茄生产的迅速发展和人民生活水平的提高, 樱桃番茄的风味品质特征特性正在逐步引起相关研究单位的广泛重视[1, 2, 3, 4]。樱桃番茄风味品质一般指其特殊的滋味和气味, 包括口感和挥发性芳香气味两部分。一般来说口感主要受糖、酸、糖酸比和鲜味等因素的综合影响, 果实质地在其中也发挥一定作用[5, 6]。近年来, 中国农业科学院黄三文团队及合作者通过对100多种番茄种质资源的鉴定评价, 利用数据模型, 分析确定了33种影响消费者番茄喜好的主要风味物质, 包括葡萄糖、果糖、柠檬酸、苹果酸和29种挥发性物质, 揭示了番茄风味的物质基础, 相关结果分别发表在国际著名生物学期刊《Science》和《Cell》上[7, 8]。
可溶性固形物包括可溶性糖、有机酸等一系列物质, 由于测量方便, 是目前田间生产上衡量番茄风味的重要指标之一。番茄果实干物质中约50%为糖分, 主要包括葡萄糖、果糖(还原糖)和少量蔗糖(非还原糖), 番茄果实成熟过程中, 葡萄糖和果糖的浓度会连续增加, 蔗糖浓度则保持在较低平稳水平[9], 前人研究表明果糖的甜度几乎是蔗糖的2~3倍[10, 11], 增加果糖的相对含量能够增加果实风味[12]。有机酸也是番茄可溶性固形物的重要组成部分, 约占总干物质的12%[13], 占全酸含量的80%左右, 而柠檬酸和苹果酸是决定果实酸味的关键有机酸[14]。伴随果实发育进程, 柠檬酸和苹果酸含量与总酸含量变化表现一致[15], 其中柠檬酸含量高于苹果酸, 相关研究表明柠檬酸的酸味更浓郁[6, 16], 而苹果酸则能够增强人体口腔对甜度的感受[17, 18]。前人的相关研究表明, 番茄最佳风味的形成需要较高的糖度和相对较高的酸度, 低糖导致果实毫无风味, 低糖和高酸会使果实偏酸, 而高糖和低酸则会令果实风味偏淡[19]。除了甜味和酸味以外, 近年来, 更多的研究发现氨基酸不仅是蔬菜的重要营养物质, 并且是番茄鲜味的主要决定因素, 与人类味觉密切相关[20]。
虽然目前对番茄风味物质决定因素的研究已经取得了重大突破, 相关风味决定物质被逐步挖掘和鉴定[7, 8], 但是在实际番茄品种选育过程中, 由于风味决定物质的数量较多, 其复杂的组成差异使得番茄风味的定量鉴定工作还存在一定难度, 目前针对樱桃番茄风味的品种选育工作大多还是基于人工品尝的定性选择。基于此, 我们对目前市场上广泛种植的16个樱桃番茄主要栽培品种进行了系统的评价和指标参数测定, 希望通过对相关参数的系统分析鉴定, 解析不同参数及其组合的变化对于樱桃番茄风味的影响, 为高品质(风味)樱桃番茄的品种选育及田间生产品种选择提供指导。
参试的樱桃番茄品种分别为浙江省农业科学院蔬菜研究所的浙樱粉1号、浙樱粉3号、浙樱粉5号、浙樱红1号、浙樱黄1号、紫晶, 北京中农绿亨种子科技有限公司的圣桃、蟠桃、粉贝贝, 河南农业大学的粉铃, 江苏省农业科学院蔬菜研究所的金陵宝玉、金陵宝石, 山东省农业科学院蔬菜研究所的天正红珠, 北京世农种业有限公司的釜山88, 浙江勿忘农种业股份有限公司的钱江金珠和日本金子种苗株式会社的黄妃共16份材料, 其中包括粉果材料8份, 红果材料3份, 橙果材料2份, 黄果材料2份, 紫果材料1份(图1)。
2018年春种植16份樱桃番茄材料于浙江省农业科学院杨渡基地连栋大棚中(东经120° 2', 北纬30° 27'), 每份材料种植1小区20株, 株行距40 cm× 50 cm, 在第三、四档番茄商品果成熟时(90%以上果实完全转色, 果实达最佳色泽和光亮度), 挑选大小均匀果实1 kg, 设3个生物学重复。
口感鉴评采用李好琢等[5]的方法测定, 每份材料选20~30个符合要求、无损伤和病虫害果实, 由10个嗅觉、味觉无缺陷, 具有相关品尝经验的参试者(30~60岁)组成, 风味品质主要分为甜度、酸度和鲜度三个方面以及风味总评(10分制), 参试者在更换品种时用水清理口腔, 确保品尝客观性。
番茄果实横径和纵径利用游标卡尺测量, 品质参数测定仪器包括WYT-4手持糖量计、aliance2695液相色谱仪、ICS-3000离子色谱仪及SYKAM433D氨基酸分析仪等, 可溶性固形物测定方法参照标准NY/T 2637— 2014, 总糖测定方法参照标准GB 5009.8— 2016, 葡萄糖测定方法参照标准GB 5009.8— 2016, 果糖测定方法参照标准GB 5009.8— 2016, 总酸测定方法参照标准GB/T 12456— 2008, 柠檬酸测定方法参照标准NY/T 2277— 2012, 苹果酸测定方法参照标准NY/T 2277— 2012, 维生素C(Vc)测定方法参照标准GB 5009.86— 2016。
采用Excel 2007进行数据整理。显著性及相关性分析利用SPSS 19.0软件中的Pearson相关性分析方法。
本研究所采用的16个樱桃番茄材料中, 浙樱粉1号、浙樱粉3号、浙樱粉5号、圣桃、蟠桃、粉贝贝、粉铃、金陵宝玉果实为粉色, 浙樱红1号、天正红珠、釜山88果实为红色, 浙樱黄1号、金陵宝石、钱江金珠果实为橙色, 黄妃果实为黄色, 紫晶果实颜色为紫色(图1-A)。通过测量各果实的横径和纵径并计算果型指数(纵径/横径), 发现蟠桃、粉贝贝、钱江金珠、黄妃、紫晶果实为圆形或近圆形(果型指数为0.95~1.20), 其他材料果实形状为椭圆型(果型指数> 1.20)(图1-B)。果实质量方面, 单果质量达到30 g的有蟠桃、粉贝贝和紫晶, 另外有3个品种(浙樱红1号、天正红珠和钱江金珠)单果质量不足12 g, 其中天正红珠单果质量最小, 为9.27 g(图1-B)。
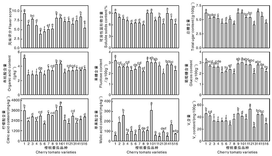
通过参试者对16个樱桃番茄品种的鉴定评价, 发现风味总评分最高的品种为浙樱粉1号, 各参试者对其评分较为一致, 显著高于其他参试品种(图2), 总体口感评价为酸甜适中、味浓、鲜味足, 评分为第一档。其他参试品种中, 浙樱粉5号、浙樱红1号、天正红珠和黄妃评分为第二档; 釜山88、浙樱黄1号和钱江金珠为第三档; 浙樱粉3号、圣桃、金陵宝石为第四档; 粉铃、金陵宝玉和紫晶为第五档; 蟠桃、粉贝贝为第六档(表1、图2)。在排名靠后品种的口感描述中, “ 味淡” 这一描述出现频率较高(表1)。
| 图2 十六个樱桃番茄品种风味评分及风味品质相关指标的比较分析Fig.2 Comparative analysis of flavor score and flavor/nutrient determination parameters |
| 表1 十六个樱桃番茄品种果实风味及营养参数 Table 1 Fruit flavor and nutrient determination parameters in 16 cherry tomato varieties |
本研究中对决定番茄风味和营养品质的可溶性固形物、总糖、总酸、果糖、葡萄糖、柠檬酸、苹果酸、VC和氨基酸这9个参数进行了测定(表1)。作为番茄风味品质的最直观评价指标, 16个樱桃番茄品种的可溶性固形物变化范围为6.02%~9.10%, 平均7.44%, 4个品种(浙樱粉1号、浙樱红1号、天正红珠、钱江金珠)的可溶性固形物含量达到9.0%及以上。在所有测量参数中, 苹果酸含量变异系数(coefficient of variation, CV)最大(66.42%), 最低的浙樱黄1号果实苹果酸含量为46.97 mg· kg-1, 而最高的天正红珠苹果酸含量达到312.67 mg· kg-1, 两者相差近7倍(表1; 图2)。果糖含量在各参数中CV最低(12.91%), 各品种果糖含量为2.0~3.2 g· 100g-1。值得注意的是, 风味评分的CV在各参数中排名第2(23.77%), 高于除苹果酸以外所有其他指标的CV(表1), 表明综合风味是一个相对复杂的评定指标, 品种之间相对差异较大。此外, 还有3个测量指标在16个参试番茄品种中的CV达到20%以上, 其中, 柠檬酸(CV=21.14%)含量变化区间为2 101.33~4 100.67 mg· kg-1, 最高的3个品种分别为天正红珠(4 100 mg· kg-1)、浙樱粉1号(3 600 mg· kg-1)和浙樱红1号(3 600 mg· kg-1)。值得注意的是, 作为既是风味物质又是主要营养物质的参数Vc和氨基酸含量, 两者的相对变异也较大(变异系数分别为21.19%和27.10%)。16个樱桃番茄品种中, 浙樱粉1号的Vc含量和氨基酸含量都相对较高, 其中Vc含量排名第2(45.90 mg· 100g-1), 仅次于浙樱黄1号的53.40 mg· 100g-1, 而氨基酸含量排名第1, 达到0.82%, 是浙樱粉5号氨基酸含量(0.28%)的近3倍, 高氨基酸能够增强果实的鲜味, 这一情况在其他高氨基酸品种, 如浙樱红1号(0.73%)、天正红珠(0.72%)等中也观察到(表1)。
在测量获得的番茄风味指标决定指标基础上, 我们对相关的指标参数平均值进行了复合计算, 得到了包括糖酸比(总糖/有机酸)、果糖占比(果糖/总糖)、葡萄糖占比(葡萄糖/总糖)、柠檬酸占比(柠檬酸/有机酸)、苹果酸占比(苹果酸/有机酸)、柠檬酸及苹果酸占比([柠+苹]/有机酸)等8个参数(表2), 并对其进行了比较分析(表3)。结果表明, 相比单独的风味指标参数(表1), 复合参数的CV之间存在更大差异性, 其中16个番茄品种的苹果酸占比CV高达67.48%以及由此导致的柠檬酸/苹果酸CV也相对较大(44.48%)(表2)。与之相反, 另外3个复合参数(果糖占比、葡萄糖占比及果糖/葡萄糖的CV均较小(分别为5.51%、4.80%及5.05%), 从表2可以看出, 16个樱桃番茄品种中, 果糖和葡萄糖在总糖中的比例基本相近, 果糖平均占比50.49%, 葡萄糖平均占比48.58%, 属于相对稳定的参数, 与前人研究结论相同[5]。对于16个品种中的果糖/葡萄糖参数, 平均值为1.04, 最低的为0.96(浙樱粉3号和浙樱黄1号), 最高为1.12(黄妃)。与糖类物质不同, 番茄中的有机酸组成较为复杂, 柠檬酸和苹果酸作为决定番茄风味的两种主要酸类物质, 在番茄中的占比和相对比值也存在一定差异, 16个参试品种中柠檬酸和苹果酸占有机酸的比例([柠+苹]/有机酸)从最低的62.92%(钱江金珠)到最高的天正红珠(100%), CV为13.64%。另外, 作为对酸味贡献不同的两种酸(柠檬酸决定酸味的强度), 柠檬酸/苹果酸的变异系数也较大, 从最低的10.91%(浙樱粉5号)到最高的62.43%(浙樱粉1号)(表2)。
| 表2 十六个樱桃番茄品种果实风味决定指标复合参数 Table 2 Compound parameters of flavor determination parameters in 16 cherry tomato varieties |
| 表3 风味评分前4与后4樱桃番茄品种的风味参数比较分析 Table 3 Comparative analysis of flavor determination parameters between 4 top-ranked and 4 backward-ranked cherry tomato varieties in flavor score evaluation |
根据本研究对于16个参试樱桃番茄品种的排名, 我们分别选取了风味总评分排名前4的浙樱粉1号、黄妃、天正红珠、浙樱红1号和风味总评分排名最后4位的蟠桃、粉贝贝、粉铃、金陵宝玉, 并对其相关风味决定物质的参数进行了比较分析。分析表明, 排名前4番茄品种风味总评分的平均分为8.50, 极显著(P< 0.01)高于最后4位的4.61, 而且前者的CV(6.73%)不到后者(14.09%)的一半(表3), 说明对于风味较好的番茄, 品尝者的判断标准更为统一, 而对风味较差的番茄品种, 判断标准差异相对更大。在对风味决定指标参数比较中, 我们发现, 在风味较好的番茄品种组合和较差番茄品种组合之间, 前者的绝大部分基本参数指标(除苹果酸外), 包括可溶性固形物、总糖、有机酸、果糖、葡萄糖和柠檬酸, 都显著(P< 0.05)高于后者, 其中总糖和柠檬酸的差异则是达到极显著水平(P< 0.01)。然而, 包括糖酸比(总糖/有机酸)、果糖/葡萄糖、(柠檬酸+苹果酸)/有机酸、柠檬酸/苹果酸在内的所有复合参数, 都没有呈现出显著差异(表3)。因此, 我们初步认为, 番茄的风味品质主要是由各风味及营养单项指标决定的, 不受糖酸比、果糖/葡萄糖、柠檬酸/苹果酸等复合参数影响。为进一步证实这一结论, 我们进一步对番茄风味评分与相关指标参数的相关性进行了研究分析。
我们利用SPSS 19.0软件对本研究中测定的相关参数进行了Pearson相关性分析。结果表明, 风味评分与单果质量存在极显著的负相关, 而与可溶性固形物、总糖、有机酸、果糖、葡萄糖极显著正相关, 与Vc含量显著相关, 而与果型指数、氨基酸、柠檬酸、苹果酸以及其他复合参数无显著相关性(表4)。我们认为单果质量与风味指数的负相关主要是由其与葡萄糖和果糖含量两个参数的负相关性决定的, 可能与较大果实中葡萄糖和果糖的浓度被稀释有关。相关性分析结果还表明, 可溶性固形物积累与总糖极显著正相关, 与有机酸显著正相关, 而有机酸含量与柠檬酸含量极显著正相关, 说明柠檬酸是决定番茄果实有机酸含量的主要酸类物质, 与前人研究结果一致[6, 11]。对于同时作为风味决定物质和营养物质的Vc和氨基酸, 相关性分析表明Vc含量与果糖和葡萄糖两个参数之间都存在极显著正相关性, 这可能是Vc含量与风味评分正相关的主要决定因素。而与Vc不同, 氨基酸含量与有机酸含量存在极显著的正相关性, 与果糖含量显著正相关(表4)。以上发现表明, 除了已知的可溶性糖、有机酸等物质外, Vc和氨基酸对番茄风味品质也存在一定影响, 而这些影响很可能是由其与糖酸成分的相关性决定的。值得注意的是, 苹果酸作为影响番茄酸味的主要成分之一, 其含量似乎与其他参数(包括风味总评)之间无相关性, 这一结论与2.5节中的结果一致(表3、表4), 说明苹果酸对于番茄品质的影响可能并不显著。
| 表4 果实风味评分及其他风味决定参数的相关性分析 Table 4 Correlation analysis of fruit flavor score evaluation and other flavor determination parameters |
由于近年来番茄育种工作中对于产量、抗性等性状的片面追求和对风味品质性状的忽视, 现代番茄商品种的风味与早期自交种和品种相比, 许多特有风味消失, 由此导致的番茄淡而无味已经成为目前番茄消费市场的痛点, 而番茄风味决定物质成分的鉴定和相关遗传调控规律的研究一直是学界研究的方向[21, 22, 23, 24, 25]。2017年至今, 黄三文团队及其合作方Harry Klee团队在大量番茄种质资源的基因组数据基础上, 通过生物信息学、代谢组学等大量技术手段, 明确了影响番茄风味构成的33种主要物质[7, 8], 为后续的番茄风味研究和评价鉴定奠定了基础。在番茄遗传进化过程中, 樱桃番茄的形成早于普通大果番茄, 且受到的人工驯化较少, 因此, 总体来说, 樱桃番茄商品种相对大果番茄保留了更多原始的番茄风味。
在本研究中, 我们以16个生产上主栽樱桃商品种为材料, 以10个参试者对这16个番茄品种品尝后的风味总评分为依据, 通过对目前已知的番茄风味和营养主要决定物质含量进行测定和比较分析, 解析了各指标参数对于樱桃番茄风味的影响及决定作用的程度。
研究发现, 虽然不同番茄品种间苹果酸含量的差异在所有指标中最大(CV最高), 但是苹果酸的含量在有机酸中处于较低水平(16个品种中最高的苹果酸/有机酸比例为8.14%)。前人研究认为苹果酸是番茄风味的决定物质之一, 我们认为相比于苹果酸, 柠檬酸才是决定番茄酸味和相关风味的主要物质。此外, 本研究发现除前人研究较多的苹果酸、柠檬酸在不同樱桃番茄品种中差异较大以外, 还有两个变异系数较大的风味与营养指标— — Vc和总氨基酸含量, 尤其是Vc含量与风味评分存在显著的相关性, 说明Vc和氨基酸既是传统意义上的营养物质, 也是影响番茄风味的主要指标之一。
此外, 本研究发现番茄风味的好坏主要是由2个关键参数(总糖、有机酸)的高低决定的, 总糖主要包括葡萄糖和果糖, 有机酸含量高低主要与柠檬酸含量相关, 而总糖和有机酸是可溶性固形物的主要组成部分, 因此, 目前生产实践中采用可溶性固形物来衡量番茄的风味是较为合理的。以风味总评分最高的浙樱粉1号为例, 其大部分品质参数(可溶性固形物、总糖、有机酸、果糖、葡萄糖、柠檬酸、Vc、氨基酸)在16个参试品种中均处于前2, 决定了其显著优于其他樱桃番茄的风味特征。值得注意的是, 浙樱粉1号的品质复合参数, 如糖酸比(总糖/有机酸)和柠檬酸及苹果酸占酸比([柠+苹]/有机酸)等在16个参试樱桃番茄品种中排名均较为靠后, 这一现象是由其较高的有机酸水平造成的。因此, 我们认为在总糖含量较高的情况下, 较高的有机酸水平虽然会降低糖酸比, 但是会促进番茄的整体风味。前人研究表明, 合适的糖酸比是决定番茄风味的主要指标之一[26], 良好的风味, 必须在较高的含糖量基础上有合适的糖酸比。合适的糖酸比为6.9~10.8[27], 但也有人认为糖酸比应为4~6[28]。本研究中, 16个番茄风味评分为12.01~18.77, 风味排名的比较(表3)以及风味决定指标相关性分析(表4)研究均表明, 番茄风味与糖酸比并无显著相关性。本次参试品种中评分最高的浙樱粉1号糖酸比仅有12.06(排名15), 而风味排名靠前的其他品种, 如黄妃糖酸比16.29排名第6, 天正红珠糖酸比14.33排名11(表3), 也都说明了这一问题。因此, 我们认为, 合适的总糖和有机酸含量才是影响番茄风味的关键。我们还发现Vc和氨基酸作为兼具风味物质和营养物质的两个指标, 对番茄风味也有一定的影响, 风味评分排名靠前的番茄品种中Vc和氨基酸含量也基本名列前茅(表3), 相关性分析表明Vc和糖类物质(葡萄糖、果糖)显著相关, 而氨基酸与有机酸显著相关, 除了本身对番茄风味的影响以外, Vc、氨基酸与风味的相关性有可能是由两者跟糖、酸物质的正相关性决定的。基于此, 本研究提出, Vc和氨基酸在今后的番茄品质鉴定工作中, 不仅可作为营养指标, 也可同时作为风味指标进行利用。
The authors have declared that no competing interests exist.
| [1] |
|
| [2] |
|
| [3] |
|
| [4] |
|
| [5] |
|
| [6] |
|
| [7] |
|
| [8] |
|
| [9] |
|
| [10] |
|
| [11] |
|
| [12] |
|
| [13] |
|
| [14] |
|
| [15] |
|
| [16] |
|
| [17] |
|
| [18] |
|
| [19] |
|
| [20] |
|
| [21] |
|
| [22] |
|
| [23] |
|
| [24] |
|
| [25] |
|
| [26] |
|
| [27] |
|
| [28] |
|

